请输入您要查询的字词:

 

单词 cyanuric acid
释义
cyanuric acid

Chemistry
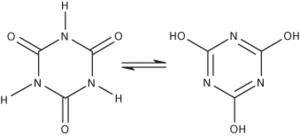
  • A white crystalline water-soluble trimer of cyanic acid, (HNCO)3. It is a cyclic compound having a six-membered ring made of alternating imide (NH) and carbonyl (CO) groups (i.e. three –NH–C(O)– units). It can also exist in a phenolic form (three –N=C(OH)– units).

    cyanuric acid

    Cyanuric acid


随便看

 

科学参考收录了60776条科技类词条,基本涵盖了常见科技类参考文献及英语词汇的翻译,是科学学习和研究的有利工具。

 

Copyright © 2000-2023 Sciref.net All Rights Reserved
京ICP备2021023879号 更新时间:2025/12/14 12:48:20