请输入您要查询的字词:

 

单词 violin plot
释义
violin plot

Statistics
  • A plot that combines the kernel method with a type of boxplot in a single diagram that presents the information provided by the two approaches.

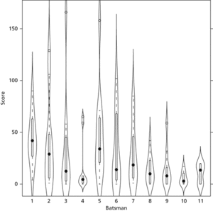
    violin plot

    Violin plot. The plot refers to the scores obtained by the successful England cricket team in the 2005 Ashes series against Australia. The strength of the middle order compensated for the consistently poor performances of the number 4 batsman. The dots indicate the median scores obtained.


随便看

 

科学参考收录了60776条科技类词条,基本涵盖了常见科技类参考文献及英语词汇的翻译,是科学学习和研究的有利工具。

 

Copyright © 2000-2023 Sciref.net All Rights Reserved
京ICP备2021023879号 更新时间:2025/12/14 19:14:16