请输入您要查询的字词:

 

单词 HMX
释义
HMX

Chemistry
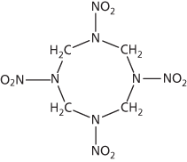
  • A colourless crystalline compound, C4H8N8O8; r.d. 1.9; m.p. 276–286°C. It has a structure similar to that of cyclonite (RDX), but with an 8-membered ring rather than a six-membered ring. An extremely powerful explosive, it is used mainly for military purposes and as a rocket propellant. The name comes from ‘High Molecular Weight RDX’.

    HMX

    HMX


随便看

 

科学参考收录了60776条科技类词条,基本涵盖了常见科技类参考文献及英语词汇的翻译,是科学学习和研究的有利工具。

 

Copyright © 2000-2023 Sciref.net All Rights Reserved
京ICP备2021023879号 更新时间:2025/12/30 22:13:06