请输入您要查询的字词:

 

单词 haem
释义
haem

Chemistry
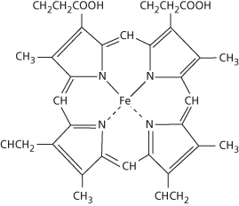
  • An iron-containing molecule that binds with proteins as a cofactor or prosthetic group to form the haemoproteins. These are haemoglobin, myoglobin, and the cytochromes. Essentially, haem comprises a porphyrin with its four nitrogen atoms holding the iron(II) atom as a chelate. This iron can reversibly bind oxygen (as in haemoglobin and myoglobin) or (as in the cytochromes) conduct electrons by conversion between the iron(II) and iron(III) series.

    haem

    Haem


Biology
  • An iron-containing molecule (see formula) that binds with proteins as a cofactor or prosthetic group to form the haemoproteins. These are haemoglobin, myoglobin, and the cytochromes. Essentially, haem comprises a porphyrin with its four nitrogen atoms holding the iron(II) atom as a chelate. This iron can reversibly bind oxygen (as in haemoglobin and myoglobin) or (as in the cytochromes) conduct electrons by conversion between the iron(II) and iron(III) series.

    haem

    Haem


随便看

 

科学参考收录了60776条科技类词条,基本涵盖了常见科技类参考文献及英语词汇的翻译,是科学学习和研究的有利工具。

 

Copyright © 2000-2023 Sciref.net All Rights Reserved
京ICP备2021023879号 更新时间:2025/12/27 22:53:05