请输入您要查询的字词:

 

单词 benzilic acid rearrangement
释义
benzilic acid rearrangement

Chemistry
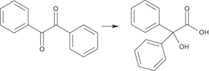
  • An organic rearrangement reaction in which benzil (1,2-diphenylethan-1,2-dione) is treated with hydroxide and then acid to give benzilic acid (2-hydroxy-2,2-diphenylethanoic acid):

    C6H5.CO.CO.C6H5(C6H5)2C(OH).COOH

    In the reaction a phenyl group (C6H5–) migrates from one carbon atom to another. The reaction was discovered in 1828 by Justus von Liebig; it was the first rearrangement reaction to be described.

    benzilic acid rearrangement

    Benzilic acid rearrangement


随便看

 

科学参考收录了60776条科技类词条,基本涵盖了常见科技类参考文献及英语词汇的翻译,是科学学习和研究的有利工具。

 

Copyright © 2000-2023 Sciref.net All Rights Reserved
京ICP备2021023879号 更新时间:2025/12/21 16:51:44