请输入您要查询的字词:

 

单词 gibberellic acid
释义
gibberellic acid

Chemistry
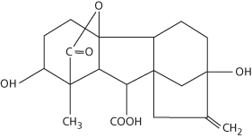
  • A plant growth substance, abundant in young actively growing areas of the plant, that is involved in stem elongation. A terpene, it was discovered in 1954. Gibberellic acid and related growth substances are called gibberellins.


Biology
  • A plant hormone that is extracted from fungal cultures and is one of the most important commercially available gibberellins (see formula). It was discovered in 1954.

    gibberellic acid

    Gibberellic acid


随便看

 

科学参考收录了60776条科技类词条,基本涵盖了常见科技类参考文献及英语词汇的翻译,是科学学习和研究的有利工具。

 

Copyright © 2000-2023 Sciref.net All Rights Reserved
京ICP备2021023879号 更新时间:2025/12/30 14:59:52