请输入您要查询的字词:

 

单词 derivation tree
释义
derivation tree

Computer
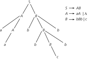
  • A way of indicating how a context-free grammar derives a particular word. The leaf nodes of the tree are terminals, the other nodes are nonterminals. For example, the tree shown in the diagram shows a derivation of aabbcbb from the grammar that is shown. Many different derivation sequences can correspond to the same derivation tree.

    derivation tree

    Derivation tree.


随便看

 

科学参考收录了60776条科技类词条,基本涵盖了常见科技类参考文献及英语词汇的翻译,是科学学习和研究的有利工具。

 

Copyright © 2000-2023 Sciref.net All Rights Reserved
京ICP备2021023879号 更新时间:2025/12/14 17:32:50