请输入您要查询的字词:

 

单词 borate
释义
borate

Chemistry
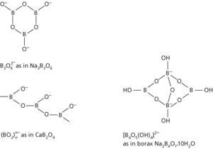
  • Any of a wide range of ionic compounds that have negative ions containing boron and oxygen (see formulae). Lithium borate, for example, contains the simple anion B(OH)4. Most borates, however, are inorganic polymers with rings, chains, or other networks based on the planar BO3 group or the tetrahedral BO3(OH) group. ‘Hydrated’ borates are ones containing –OH groups; many examples occur naturally. Anhydrous borates, which contain BO3 groups, can be made by melting together boric acid and metal oxides.

    borate

    Borate


随便看

 

科学参考收录了60776条科技类词条,基本涵盖了常见科技类参考文献及英语词汇的翻译,是科学学习和研究的有利工具。

 

Copyright © 2000-2023 Sciref.net All Rights Reserved
京ICP备2021023879号 更新时间:2025/12/24 12:42:14