请输入您要查询的字词:

 

单词 maleic anhydride
释义
maleic anhydride

Chemistry
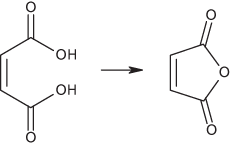
  • A colourless solid, C4H2O3, m.p. 53°C, the anhydride of cis-butenedioic acid (maleic acid). It is a cyclic compound with a ring containing four carbon atoms and one oxygen atom, made by the catalytic oxidation of benzene or its derivatives at high temperatures. It is used mainly in the manufacture of alkyd and polyester resins and copolymers.

    maleic anhydride

    Maleic anhydride


随便看

 

科学参考收录了60776条科技类词条,基本涵盖了常见科技类参考文献及英语词汇的翻译,是科学学习和研究的有利工具。

 

Copyright © 2000-2023 Sciref.net All Rights Reserved
京ICP备2021023879号 更新时间:2025/12/14 16:44:11