请输入您要查询的字词:

 

单词 fentanyl
释义
fentanyl

Chemistry
  • An opioid used for controlled pain relief. It is much stronger than morphine.

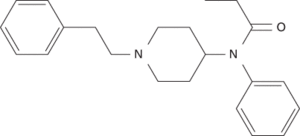
    fentanyl

    Fentanyl (C22 H28 N2O) the hydrogen atoms are not shown.


随便看

 

科学参考收录了60776条科技类词条,基本涵盖了常见科技类参考文献及英语词汇的翻译,是科学学习和研究的有利工具。

 

Copyright © 2000-2023 Sciref.net All Rights Reserved
京ICP备2021023879号 更新时间:2025/12/30 15:49:15